Copper Bus Bar Ampacity

Copper Alloy C11000 Bus Bar Ampacity Chart Storm Power Components

Copper Alloy C11000 Bus Bar Ampacity Chart Storm Power Components

Rated Currents And Allowable Ampacities Of Single Rectangular Aluminium Download Table

Rated Currents And Allowable Ampacities Of Single Rectangular Aluminium Download Table

Quick Bus Bar Design Selector Ampacity Chart Storm Power Components

Quick Bus Bar Design Selector Ampacity Chart Storm Power Components

Copper Busbar Rating Austral Wright Metals

Copper Busbar Rating Austral Wright Metals

Assumed Currents And Allowable Ampacities Of Single Rectangular Bus Download Table

Assumed Currents And Allowable Ampacities Of Single Rectangular Bus Download Table

Rated Currents And Allowable Ampacities Of Single Rectangular Copper Download Table

Rated Currents And Allowable Ampacities Of Single Rectangular Copper Download Table

Rated Currents And Allowable Ampacities Of Single Rectangular Copper Download Table

Multiple busses also affect ampacity in a.

Copper bus bar ampacity. Ampacities of copper no. Ampacities and mechanical properties of rectangular copper busbars. 30 c rise 50 c. Electrical current carrying requirements determine the minimum cross sectional area of the conductors.

Ampacity of the bus bar selected must then be verified by checking table 1. This was observed on samples exposed for 60 days in an industrial environment and it is probably identical to that of bus bars in service. This article presents a brief overview of ampacity charts for both copper and aluminum bus bar and shows how to interpret the data within. Ampacities and mechanical properties of rectangular copper busbars.

Area weight per ft in lb. The number of sizes shown are not as extensive as those in the tables of ac ampacities and there may be slight discrepancies between. Quick copper bus bar design selector knowing the ampacity designers and estimators can get the approximate bus bar size. Understanding bus bar ampacity charts.

Ampacities of copper no. Effect of emissivity and number of busses on ampacity data here show how higher emissivities improve ampacity. Ampacity of the bus bar selected must then be verified by checking table 1. Quick busbar selector knowing the ampacity designers and estimators can get the approximate bus bar size.

30 c rise 50 c rise 65 c rise sq. However these charts can only tell you so much. Dc resistance at 20 c microhms ft. This was observed on samples exposed for 60 days in an industrial environment and it is probably identical to that of bus bars in service.

In mcm thousand circ mils skin effect ratio at 90 c 60 hz ampacity amp skin effect ratio at 90 c 60 hz ampacity amp skin effect. Ampacities of bus bar systems of other configurations must be calculated taking into account size spacing number of bus bars and overall skin effect ratio. 110 busbars ampacities in the table below are for bus bars having an emissivity of 0 4. The following tables have been provided by the alliance for telecommunications industry solutions atis t1 committee and represent ampacities for busbar sizes and arrangements typically found in the telecommunications industry.

Table courtesy of copper development association inc. Ampacity of the bus bar selected must then be verified by checking the ampacity table. Ampacities of copper alloy c11000 bus bars. Ampacities in the table below are for bus bars having an emissivity of 0 4.

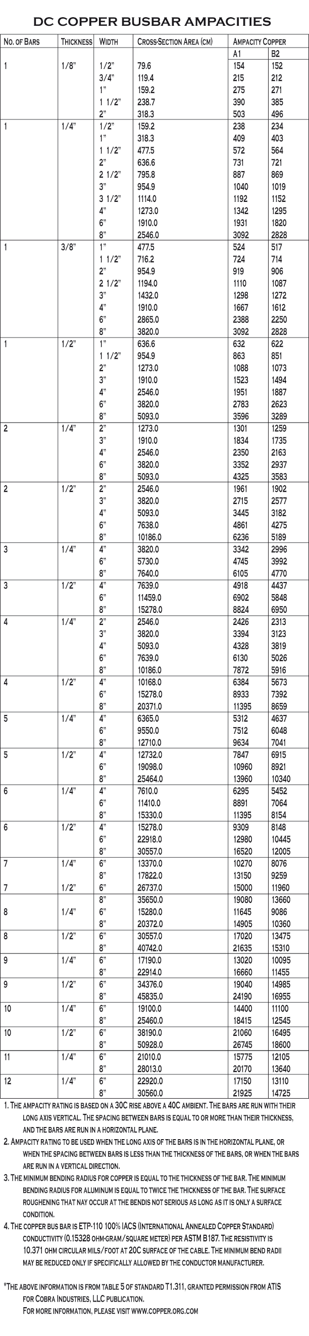
Dc copper busbar ampacities. Bus bar ampacity table ampacities of copper bus bars alloy uns c11000 dimension in.

Variations In Temperature Of Copper Busbar With The Time Constant Under Download Table

Variations In Temperature Of Copper Busbar With The Time Constant Under Download Table

Copper Busbar C11000 Ampacity Annealing Metallurgy Copper

Copper Busbar C11000 Ampacity Annealing Metallurgy Copper

Brand New Flexible Copper Laminated Busbar View Electric Bus Bar Kinto Product Details From Beijing Jinglongyuan Electric Co Ltd On Alibaba Com

Brand New Flexible Copper Laminated Busbar View Electric Bus Bar Kinto Product Details From Beijing Jinglongyuan Electric Co Ltd On Alibaba Com

Veracious Current Carrying Capacity Of Aluminium Bus Bar Current Carrying Capacity Of Aluminium Cables In 2020

Veracious Current Carrying Capacity Of Aluminium Bus Bar Current Carrying Capacity Of Aluminium Cables In 2020

Braided Copper Flexible Connections Jumpers Connectors Bajeria Com

Braided Copper Flexible Connections Jumpers Connectors Bajeria Com

Available Sizes And Technical Information

Available Sizes And Technical Information

Http Www Lntebg Com Ese Currenttrends 1994july Sept Pdf

Http Www Lntebg Com Ese Currenttrends 1994july Sept Pdf

Pdf Steady State And Transient Ampacity Of Bus Bar

Pdf Steady State And Transient Ampacity Of Bus Bar

Copper Busbar Ampacity Tables K54611rqw8n8

Copper Busbar Ampacity Tables K54611rqw8n8

Copper Busbar Current Rating Table In Mm

Copper Busbar Current Rating Table In Mm

Grounding Cobra Industries Llc

Grounding Cobra Industries Llc

Ampacity Of Copper Busbar Endless Sphere

Ampacity Of Copper Busbar Endless Sphere

Busbar Sizing Calculation

Busbar Sizing Calculation

Tech Data

Tech Data

How To Calculate The Copper Busbar Size For A Give Current Induced Info

How To Calculate The Copper Busbar Size For A Give Current Induced Info

Aluminum Bus Bar Alloy 6101 Ampacity Electrical Equipment Electrical Components

Aluminum Bus Bar Alloy 6101 Ampacity Electrical Equipment Electrical Components

Aluminum Bus Bar Storm Power Components

Aluminum Bus Bar Storm Power Components

Bus Bar Design Considerations S Copper Bus Bar Ampacity Bus Bar Design Considerations Table

Bus Bar Design Considerations S Copper Bus Bar Ampacity Bus Bar Design Considerations Table

Https Encrypted Tbn0 Gstatic Com Images Q Tbn 3aand9gcrpkvmbteqgcwxu7niv3his3xgzn6eqee60yfhdfzjq 3iublep Usqp Cau

Https Encrypted Tbn0 Gstatic Com Images Q Tbn 3aand9gcrpkvmbteqgcwxu7niv3his3xgzn6eqee60yfhdfzjq 3iublep Usqp Cau

Copper Busbar Thickness Diy Solar Power Forum

Copper Busbar Thickness Diy Solar Power Forum

Copper Busbars Aluminum Bus Bars 2

Copper Busbars Aluminum Bus Bars 2

Flexible Copper Busbar For Aerospace Industry Buy Flexible Copper Busbar Flexible Copper Busbar Flexible Copper Busbar Product On Alibaba Com

Flexible Copper Busbar For Aerospace Industry Buy Flexible Copper Busbar Flexible Copper Busbar Flexible Copper Busbar Product On Alibaba Com

General Installation Requirements Part Xxxviii Electrical Contractor Magazine

General Installation Requirements Part Xxxviii Electrical Contractor Magazine

China Copper Busbar For Power Distribution Manufacturers Suppliers Factory Galaxy Tech

China Copper Busbar For Power Distribution Manufacturers Suppliers Factory Galaxy Tech

Edge

Edge

Insulated Copper Flexi Bars

Insulated Copper Flexi Bars

Busbar Sizing Calculation Electrical Conductor Electrical Components

Busbar Sizing Calculation Electrical Conductor Electrical Components

Copper Bus Bar Ier Electrical Products

Copper Bus Bar Ier Electrical Products

Pdf Prediction And Comparison Of Size Of The Copper And Aluminium Bus Duct System Based On Ampacity And Temperature Variations Using Matlab

Pdf Prediction And Comparison Of Size Of The Copper And Aluminium Bus Duct System Based On Ampacity And Temperature Variations Using Matlab

How To Calculate Busbar Weight For Al Copper In Electrical Panel Busbar Calculation Youtube

How To Calculate Busbar Weight For Al Copper In Electrical Panel Busbar Calculation Youtube

Catalog Cut Sheets Storm Power Components

Catalog Cut Sheets Storm Power Components

How A Busbar Should Be Rated Blue Sea Systems

How A Busbar Should Be Rated Blue Sea Systems

Aluminum Bus Bar Wmwa Net

Aluminum Bus Bar Wmwa Net

American Wire Gage Awg Bare Copper Wire Ampacity Fusing Brown And Sharpe B S Electrical Wire Siz Cable Chart Electrical Circuit Diagram Reference Chart

American Wire Gage Awg Bare Copper Wire Ampacity Fusing Brown And Sharpe B S Electrical Wire Siz Cable Chart Electrical Circuit Diagram Reference Chart

Pin By J Michael Sullivan On My Ezuma Project Electra Battery Chinese Scooters Plugs

Pin By J Michael Sullivan On My Ezuma Project Electra Battery Chinese Scooters Plugs

Https Www Swgc Net Uploads Spearman Isd Pr01 Pdf

Https Www Swgc Net Uploads Spearman Isd Pr01 Pdf

How To Determine The Rating Of Your Main Electrical Panel

How To Determine The Rating Of Your Main Electrical Panel

Bj2175 2 Pole 240 Volt Molded Case Circuit Breaker Eaton Cutler Hammer Westinghouse Amazon Com

Bj2175 2 Pole 240 Volt Molded Case Circuit Breaker Eaton Cutler Hammer Westinghouse Amazon Com

Cross Reference Awg To Metric Size With Ampacity Of Insulated Conductors Electrical Components Wire

Cross Reference Awg To Metric Size With Ampacity Of Insulated Conductors Electrical Components Wire

Https Spikeelectric Com Pdf R Ampacities Copper Busbars Pdf

Https Spikeelectric Com Pdf R Ampacities Copper Busbars Pdf

Insulated Copper Bus Bars Storm Power Components

Insulated Copper Bus Bars Storm Power Components

Copper Ampacity

Copper Ampacity

Aluminum Cable Ampacity Chart Rakak

Aluminum Cable Ampacity Chart Rakak

1

1

Source : pinterest.com